ADF and COSMO-RS workflow

Note: This example requires AMS2023 or later.

This example uses ADF to generate the .coskf file for benzene. You can also modify it to instead use the Benzene.coskf from the ADFCRS-2018 database. Note that you first need to install the ADFCRS-2018 database.

The script then plots the sigma profile. This is not a necessary step but is done for illustration purposes only.

Then a solubility calculation is performed for benzene in water between 0 and 10 degrees C. The melting point and enthalpy of fusion can either be estimated using the property prediction tool, or the experimental numbers can be given (recommended).

Example usage: AMS2023+ required (ams_crs.py)

This script is built on the PLAMS. For more detailed useage of COSMO-RS with PLAMS, refer to the documentation.

[show/hide code]
#!/usr/bin/env amspython
import os

import matplotlib.pyplot as plt
from scm.plams import Settings, Units, from_smiles, CRSJob, init
from scm.plams.recipes.adfcosmorscompound import ADFCOSMORSCompoundJob


def solubility():
    # database can also be replaced with the output of "$AMSBIN/amspackages loc adfcrs" /ADFCRS-2018
    database = CRSJob.database()
    if not os.path.exists(database):
        raise OSError(f"The provided path does not exist. Exiting.")

    solute_smiles = "c1ccccc1"
    solute_coskf = generate_coskf(solute_smiles, "adf_benzene")  # generate files with ADF
    # solute_coskf = os.path.abspath('plams_workdir/adf_benzene/adf_benzene.coskf') # to not rerun the ADF calculation
    # solute_coskf = os.path.join(database, 'Benzene.coskf') # to load from database

    # You can also estimate the solute properties with the Property Prediction tool. See the Property Prediction example
    solute_properties = {"meltingpoint": 278.7, "hfusion": 9.91}  # experimental values for benzene, hfusion in kJ/mol

    solvent_coskf = os.path.join(database, "Water.coskf")
    solvent_density = 1.0

    s = Settings()
    s.input.property._h = "solubility"
    s.input.property.DensitySolvent = solvent_density
    s.input.temperature = "273.15 283.15 10"
    s.input.pressure = "1.01325 1.01325 10"

    s.input.compound = [Settings(), Settings()]

    s.input.compound[0]._h = solvent_coskf
    s.input.compound[0].frac1 = 1.0

    s.input.compound[1]._h = solute_coskf
    s.input.compound[1].nring = 6  # number of ring atoms benzene
    s.input.compound[1].meltingpoint = solute_properties["meltingpoint"]
    s.input.compound[1].hfusion = solute_properties["hfusion"] * Units.convert(
        1.0, "kJ/mol", "kcal/mol"
    )  # convert from kJ/mol to kcal/mol

    job = CRSJob(name="benzene_in_water", settings=s)
    job.run()

    plot_results(job)


def generate_coskf(smiles, jobname=None):
    molecule = from_smiles(smiles, nconfs=100, forcefield="uff")[0]
    job = ADFCOSMORSCompoundJob(name=jobname, molecule=molecule)
    job.run()
    plot_sigma_profile(job.results)
    return job.results.coskfpath()


def plot_results(job):
    res = job.results.get_results("SOLUBILITY")
    solubility_g_L = res["solubility g_per_L_solvent"][1]
    temperatures = res["temperature"]
    for temperature, sol_g_l in zip(temperatures, solubility_g_L):
        print(f"{temperature:.2f} {sol_g_l:.4f}")

    plt.plot(temperatures, solubility_g_L)
    plt.xlabel("Temperature (K)")
    plt.ylabel("Solubility (g/L solvent)")
    plt.show()


def get_sigma_profile(coskf_file):
    s = Settings()
    s.input.property._h = "PURESIGMAPROFILE"
    s.input.compound._h = coskf_file
    job = CRSJob(name="sigma_profile", settings=s)
    res = job.run()
    return res.get_sigma_profile()


def plot_sigma_profile(results):
    coskf_path = results.coskfpath()
    sigma = get_sigma_profile(coskf_path)
    xlabel = "σ (e/A**2)"
    for profile in sigma:
        if profile == xlabel:
            continue
        plt.plot(sigma[xlabel], sigma[profile], label=profile.split(".")[0])

    plt.xlabel("σ (e/Å**2)")
    plt.ylabel("p(σ)")
    plt.legend()
    plt.show()


def main():
    # this line is not required in AMS2025+
    init()
    solubility()


if __name__ == "__main__":
    main()

pyCRS example usage: AMS2024+ required (ams_pyCRS.py)

This script utilizes pyCRS, a convenient python wrapper built on PLAMS and SQL database for various thermodynamic calculations. For more detatils, refer to the pyCRS Overview.

[show/hide code]
#!/usr/bin/env amspython
"""
- Solubility Calculation using pyCRS workflow with AMS2024+ and AMS2025+ Features
- Utilizes COSKFDatabase and CRSSystem from pyCRS (AMS2024+ Required)
- Use of hbc_from_MESP in ADFCOSMORSCompoundJob for COSMO-SAC DHB-MESP method (AMS2025+ Required)
"""

import os
import matplotlib.pyplot as plt
from pyCRS.Database import COSKFDatabase
from pyCRS.CRSManager import CRSSystem
from scm.plams import Settings, from_smiles, CRSJob, CRSResults
from scm.plams.recipes.adfcosmorscompound import ADFCOSMORSCompoundJob


def solubility_pyCRS():

    db = COSKFDatabase("my_coskf_db.db")

    if db.get_compounds_id("water")[0] is None:
        db.add_compound("Water.coskf")

    if db.get_compounds_id("benzene")[0] is None:
        solute_smiles = "c1ccccc1"

        # Define molecular information for Benzene to be stored in the "Compound Data" section of the *.coskf* file
        mol_info = {}
        mol_info["IUPAC"] = "Benzene"
        mol_info["Other Name"] = None
        mol_info["CAS"] = "71-43-2"
        mol_info["SMILES"] = solute_smiles

        # Generate COSKF file with hbc_from_MESP for DHB-MESP in COSMO-SAC
        coskf_file = generate_coskf(solute_smiles, jobname="adf_benzene_densf", mol_info=mol_info, hbc_from_MESP=True)

        db.add_compound(coskf_file)
        db.add_physical_property("benzene", "meltingpoint", 278.7)
        db.add_physical_property("benzene", "hfusion", 9.91, unit="kJ/mol")

    plot_sigma_profile_pyCRS(name="benzene", db=db)

    crs = CRSSystem()

    mixture = {}
    mixture["water"] = 1.0
    mixture["benzene"] = 0.0
    temp = "273.15 283.15 10"

    solvent_density = 1.0
    additional_sett = Settings()
    additional_sett.input.property.DensitySolvent = solvent_density

    crs.add_Mixture(
        mixture=mixture,
        temperature=temp,
        database="my_coskf_db.db",
        problem_type="solubility",
        additional_sett=additional_sett,
    )
    crs.runCRSJob()

    plot_results(crs.outputs[0])


def generate_coskf(smiles, jobname=None, mol_info=None, hbc_from_MESP=False):
    molecule = from_smiles(smiles, nconfs=100, forcefield="uff")[0]
    job = ADFCOSMORSCompoundJob(name=jobname, molecule=molecule, mol_info=mol_info, hbc_from_MESP=hbc_from_MESP)
    job.run()
    return job.results.coskfpath()


def plot_results(job):
    if isinstance(job, CRSJob):
        res = job.results.get_results("SOLUBILITY")
    elif isinstance(job, CRSResults):
        res = job.get_results("SOLUBILITY")
    solubility_g_L = res["solubility g_per_L_solvent"][1]
    temperatures = res["temperature"]
    for temperature, sol_g_l in zip(temperatures, solubility_g_L):
        print(f"{temperature:.2f} {sol_g_l:.4f}")

    plt.plot(temperatures, solubility_g_L)
    plt.xlabel("Temperature (K)")
    plt.ylabel("Solubility (g/L solvent)")
    plt.show()


def plot_sigma_profile_pyCRS(name, db):

    crs = CRSSystem()
    mixture = {name: 1.0}

    crs.add_Mixture(mixture=mixture, problem_type="PURESIGMAPROFILE", database=db)
    crs.runCRSJob()
    sigma = crs.outputs[0].get_sigma_profile()
    xlabel = "σ (e/A**2)"
    for profile in sigma:
        if profile == xlabel:
            continue
        plt.plot(sigma[xlabel], sigma[profile], label=profile.split(".")[0])

    plt.xlabel("σ (e/Å**2)")
    plt.ylabel("p(σ)")
    plt.legend()
    plt.show()


def main():
    solubility_pyCRS()


if __name__ == "__main__":
    main()

Results

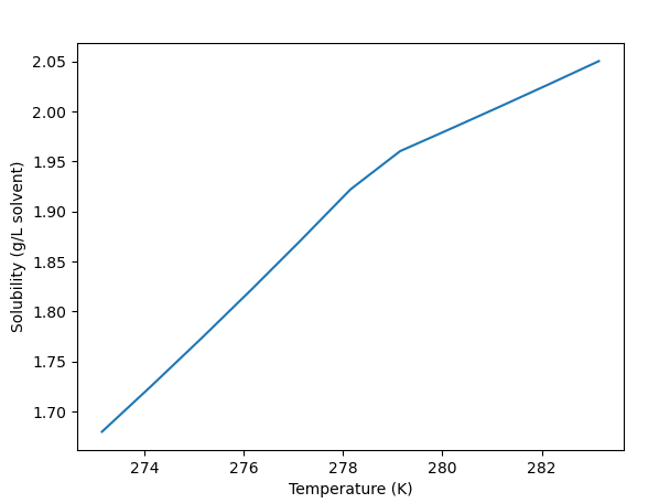
Both scripts above will generate the following results.

/scm-uploads/doc.2025/plams/_images/ams_crs_benzene_sigmaprofile.png
273.15 1.6797
274.15 1.7258
275.15 1.7731
276.15 1.8215
277.15 1.8711
278.15 1.9220
279.15 1.9603
280.15 1.9823
281.15 2.0046
282.15 2.0273
283.15 2.0503
/scm-uploads/doc.2025/plams/_images/ams_crs_benzene_solubility.png