ADF and COSMO-RS workflow¶
Note: This example requires AMS2023 or later.
This example uses ADF to generate the .coskf file for benzene. You can also modify it to instead use the Benzene.coskf from the ADFCRS-2018 database. Note that you first need to install the ADFCRS-2018 database.
The script then plots the sigma profile. This is not a necessary step but is done for illustration purposes only.
Then a solubility calculation is performed for benzene in water between 0 and 10 degrees C. The melting point and enthalpy of fusion can either be estimated using the property prediction tool, or the experimental numbers can be given (recommended).
Example usage: AMS2023+ required (ams_crs.py
)
This script is built on the PLAMS. For more detailed useage of COSMO-RS with PLAMS, refer to the documentation.
[show/hide code]
#!/usr/bin/env amspython
import os
import matplotlib.pyplot as plt
from scm.plams import Settings, Units, from_smiles, CRSJob, init
from scm.plams.recipes.adfcosmorscompound import ADFCOSMORSCompoundJob
def solubility():
# database can also be replaced with the output of "$AMSBIN/amspackages loc adfcrs" /ADFCRS-2018
database = CRSJob.database()
if not os.path.exists(database):
raise OSError(f"The provided path does not exist. Exiting.")
solute_smiles = "c1ccccc1"
solute_coskf = generate_coskf(solute_smiles, "adf_benzene") # generate files with ADF
# solute_coskf = os.path.abspath('plams_workdir/adf_benzene/adf_benzene.coskf') # to not rerun the ADF calculation
# solute_coskf = os.path.join(database, 'Benzene.coskf') # to load from database
# You can also estimate the solute properties with the Property Prediction tool. See the Property Prediction example
solute_properties = {"meltingpoint": 278.7, "hfusion": 9.91} # experimental values for benzene, hfusion in kJ/mol
solvent_coskf = os.path.join(database, "Water.coskf")
solvent_density = 1.0
s = Settings()
s.input.property._h = "solubility"
s.input.property.DensitySolvent = solvent_density
s.input.temperature = "273.15 283.15 10"
s.input.pressure = "1.01325 1.01325 10"
s.input.compound = [Settings(), Settings()]
s.input.compound[0]._h = solvent_coskf
s.input.compound[0].frac1 = 1.0
s.input.compound[1]._h = solute_coskf
s.input.compound[1].nring = 6 # number of ring atoms benzene
s.input.compound[1].meltingpoint = solute_properties["meltingpoint"]
s.input.compound[1].hfusion = solute_properties["hfusion"] * Units.convert(
1.0, "kJ/mol", "kcal/mol"
) # convert from kJ/mol to kcal/mol
job = CRSJob(name="benzene_in_water", settings=s)
job.run()
plot_results(job)
def generate_coskf(smiles, jobname=None):
molecule = from_smiles(smiles, nconfs=100, forcefield="uff")[0]
job = ADFCOSMORSCompoundJob(name=jobname, molecule=molecule)
job.run()
plot_sigma_profile(job.results)
return job.results.coskfpath()
def plot_results(job):
res = job.results.get_results("SOLUBILITY")
solubility_g_L = res["solubility g_per_L_solvent"][1]
temperatures = res["temperature"]
for temperature, sol_g_l in zip(temperatures, solubility_g_L):
print(f"{temperature:.2f} {sol_g_l:.4f}")
plt.plot(temperatures, solubility_g_L)
plt.xlabel("Temperature (K)")
plt.ylabel("Solubility (g/L solvent)")
plt.show()
def get_sigma_profile(coskf_file):
s = Settings()
s.input.property._h = "PURESIGMAPROFILE"
s.input.compound._h = coskf_file
job = CRSJob(name="sigma_profile", settings=s)
res = job.run()
return res.get_sigma_profile()
def plot_sigma_profile(results):
coskf_path = results.coskfpath()
sigma = get_sigma_profile(coskf_path)
xlabel = "σ (e/A**2)"
for profile in sigma:
if profile == xlabel:
continue
plt.plot(sigma[xlabel], sigma[profile], label=profile.split(".")[0])
plt.xlabel("σ (e/Å**2)")
plt.ylabel("p(σ)")
plt.legend()
plt.show()
def main():
# this line is not required in AMS2025+
init()
solubility()
if __name__ == "__main__":
main()
pyCRS example usage: AMS2024+ required (ams_pyCRS.py
)
This script utilizes pyCRS, a convenient python wrapper built on PLAMS and SQL database for various thermodynamic calculations. For more detatils, refer to the pyCRS Overview.
[show/hide code]
#!/usr/bin/env amspython
"""
- Solubility Calculation using pyCRS workflow with AMS2024+ and AMS2025+ Features
- Utilizes COSKFDatabase and CRSSystem from pyCRS (AMS2024+ Required)
- Use of hbc_from_MESP in ADFCOSMORSCompoundJob for COSMO-SAC DHB-MESP method (AMS2025+ Required)
"""
import os
import matplotlib.pyplot as plt
from pyCRS.Database import COSKFDatabase
from pyCRS.CRSManager import CRSSystem
from scm.plams import Settings, from_smiles, CRSJob, CRSResults
from scm.plams.recipes.adfcosmorscompound import ADFCOSMORSCompoundJob
def solubility_pyCRS():
db = COSKFDatabase("my_coskf_db.db")
if db.get_compounds_id("water")[0] is None:
db.add_compound("Water.coskf")
if db.get_compounds_id("benzene")[0] is None:
solute_smiles = "c1ccccc1"
# Define molecular information for Benzene to be stored in the "Compound Data" section of the *.coskf* file
mol_info = {}
mol_info["IUPAC"] = "Benzene"
mol_info["Other Name"] = None
mol_info["CAS"] = "71-43-2"
mol_info["SMILES"] = solute_smiles
# Generate COSKF file with hbc_from_MESP for DHB-MESP in COSMO-SAC
coskf_file = generate_coskf(solute_smiles, jobname="adf_benzene_densf", mol_info=mol_info, hbc_from_MESP=True)
db.add_compound(coskf_file)
db.add_physical_property("benzene", "meltingpoint", 278.7)
db.add_physical_property("benzene", "hfusion", 9.91, unit="kJ/mol")
plot_sigma_profile_pyCRS(name="benzene", db=db)
crs = CRSSystem()
mixture = {}
mixture["water"] = 1.0
mixture["benzene"] = 0.0
temp = "273.15 283.15 10"
solvent_density = 1.0
additional_sett = Settings()
additional_sett.input.property.DensitySolvent = solvent_density
crs.add_Mixture(
mixture=mixture,
temperature=temp,
database="my_coskf_db.db",
problem_type="solubility",
additional_sett=additional_sett,
)
crs.runCRSJob()
plot_results(crs.outputs[0])
def generate_coskf(smiles, jobname=None, mol_info=None, hbc_from_MESP=False):
molecule = from_smiles(smiles, nconfs=100, forcefield="uff")[0]
job = ADFCOSMORSCompoundJob(name=jobname, molecule=molecule, mol_info=mol_info, hbc_from_MESP=hbc_from_MESP)
job.run()
return job.results.coskfpath()
def plot_results(job):
if isinstance(job, CRSJob):
res = job.results.get_results("SOLUBILITY")
elif isinstance(job, CRSResults):
res = job.get_results("SOLUBILITY")
solubility_g_L = res["solubility g_per_L_solvent"][1]
temperatures = res["temperature"]
for temperature, sol_g_l in zip(temperatures, solubility_g_L):
print(f"{temperature:.2f} {sol_g_l:.4f}")
plt.plot(temperatures, solubility_g_L)
plt.xlabel("Temperature (K)")
plt.ylabel("Solubility (g/L solvent)")
plt.show()
def plot_sigma_profile_pyCRS(name, db):
crs = CRSSystem()
mixture = {name: 1.0}
crs.add_Mixture(mixture=mixture, problem_type="PURESIGMAPROFILE", database=db)
crs.runCRSJob()
sigma = crs.outputs[0].get_sigma_profile()
xlabel = "σ (e/A**2)"
for profile in sigma:
if profile == xlabel:
continue
plt.plot(sigma[xlabel], sigma[profile], label=profile.split(".")[0])
plt.xlabel("σ (e/Å**2)")
plt.ylabel("p(σ)")
plt.legend()
plt.show()
def main():
solubility_pyCRS()
if __name__ == "__main__":
main()
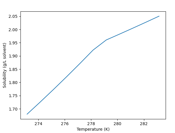
Results
Both scripts above will generate the following results.

273.15 1.6797
274.15 1.7258
275.15 1.7731
276.15 1.8215
277.15 1.8711
278.15 1.9220
279.15 1.9603
280.15 1.9823
281.15 2.0046
282.15 2.0273
283.15 2.0503
