Surface Energy with ReaxFF

Here we calculate the surface energy of ZnO(10-10).

  • Optimize the bulk the structure

  • Cut out slabs with progressively bigger thickness

  • Optimize the slabs with ReaxFF

  • Plot energy vs. number of atoms and fit a straight line

  • Convert the y-intercept of the straight line to the surface energy

Bulk wurtzite ZnO

from scm.base import ChemicalSystem
from scm.plams import view

bulk = ChemicalSystem(
    """
System
    Atoms
        Zn       1.64483022629693       0.94964317652279       0.00064920490187
        Zn       1.64483022629108      -0.94964317650531       2.68804611338770
        O        1.64483022629670       0.94964317652865       2.01489847647198
        O        1.64483022629084      -0.94964317649945       4.70229538495781
    End
    Lattice
               1.64483022628585      -2.84892951942711      -0.00000000000866
               1.64483022630247       2.84892951943670       0.00000000000826
              -0.00000000000063       0.00000000001572       5.37479381698294
    End
End
"""
)

view(bulk, width=150, height=150, direction="tilt_x", guess_bonds=True)
[10.04|12:54:49] Starting Xvfb...
[10.04|12:54:50] Xvfb started
image generated from notebook

Lattice optimization with ReaxFF

import scm.plams as plams

engine_s = plams.Settings()
engine_s.input.ReaxFF.ForceField = "ZnOH.ff"
engine_s.runscript.nproc = 1

s = plams.Settings()
s.input.ams.Task = "GeometryOptimization"
s.input.ams.GeometryOptimization.OptimizeLattice = "Yes"
s.input.ams.GeometryOptimization.Convergence.Quality = "Good"
s += engine_s.copy()

job = plams.AMSJob(settings=s, molecule=bulk, name="bulk_opt")
job.run();
[10.04|12:54:51] JOB bulk_opt STARTED
[10.04|12:54:51] JOB bulk_opt RUNNING
[10.04|12:54:51] JOB bulk_opt FINISHED
[10.04|12:54:51] JOB bulk_opt SUCCESSFUL
optimized_bulk = job.results.get_main_system()
optimized_bulk.symmetrize_cell()
print("Lengths (ang.): ", optimized_bulk.lattice.get_lengths())
print("Angles (deg.): ", optimized_bulk.lattice.get_angles(unit="degree"))
Lengths (ang.):  [3.28000889 3.28000889 5.31353255]
Angles (deg.):  [ 90.  90. 120.]

Create slabs

num_layers_list = [6, 8, 10, 12, 14]
miller = (1, 0, -1, 0)

slabs = [optimized_bulk.make_slab_layers(miller=miller, num_layers=x) for x in num_layers_list]

The thinnest slab (shown horizontally):

view(slabs[0], direction="tilt_x", guess_bonds=True)
image generated from notebook

The thickest slab:

view(slabs[-1], direction="tilt_x", guess_bonds=True)
image generated from notebook

Run slab geometry optimizations

from scm.plams import AMSJob

ss = plams.Settings()
ss.input.ams.Task = "GeometryOptimization"
ss += engine_s.copy()

slab_jobs = []

for num_layers, slab in zip(num_layers_list, slabs):
    millerstring = "".join(str(x) for x in miller)
    name = f"{num_layers}layers_{millerstring}"
    job = AMSJob(settings=ss.copy(), molecule=slab, name=name)
    slab_jobs.append(job)

for job in slab_jobs:
    job.run()
[10.04|12:54:53] JOB 6layers_10-10 STARTED
[10.04|12:54:53] JOB 6layers_10-10 RUNNING
[10.04|12:54:54] JOB 6layers_10-10 FINISHED
[10.04|12:54:54] JOB 6layers_10-10 SUCCESSFUL
[10.04|12:54:54] JOB 8layers_10-10 STARTED
... output trimmed ....
[10.04|12:54:54] JOB 12layers_10-10 SUCCESSFUL
[10.04|12:54:54] JOB 14layers_10-10 STARTED
[10.04|12:54:54] JOB 14layers_10-10 RUNNING
[10.04|12:54:54] JOB 14layers_10-10 FINISHED
[10.04|12:54:54] JOB 14layers_10-10 SUCCESSFUL
import matplotlib.pyplot as plt
import numpy as np


def getresults(job):
    main_sys = job.results.get_main_system()
    n_atoms = len(main_sys)
    energy = job.results.get_energy(unit="hartree")
    vecs = main_sys.lattice.vectors
    area = np.linalg.norm(np.cross(vecs[0], vecs[1]))
    return n_atoms, energy, area


data = sorted(getresults(job) for job in slab_jobs)  # sorts on number of atoms

x, y, areas = zip(*data)  # x = number of atoms, y = energy
fig, ax = plt.subplots()
ax.plot(x, y, ".")
ax.set_xlim(0, max(x) + 1)
ax.set_ylabel("Energy (hartree)")
ax.set_xlabel("Number of atoms")
ax;
image generated from notebook

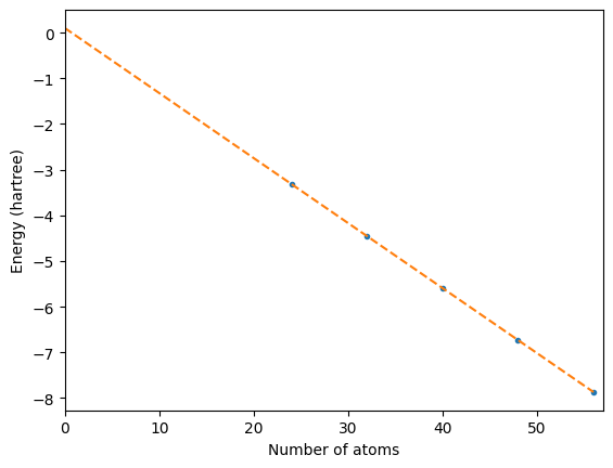
We need to fit a straight line through the points and see where it intercepts 0 on the x axis.

Fit a straight line and extrapolate to 0 atoms (pure “surface”)

from scipy.stats import linregress
from scm.base import Units


k = 3  # use the last k points
surfacearea = areas[-1]  # all should be identical; just use the last number
result = linregress(x[-k:], y[-k:])

lineminx, lineminy = 0, result.intercept
linemaxx, linemaxy = max(x), result.slope * max(x) + result.intercept
fig, ax = plt.subplots()
ax.plot(x, y, ".")
ax.plot([lineminx, linemaxx], [lineminy, linemaxy], "--")
ax.set_xlim(0, max(x) + 1)
ax.set_ylabel("Energy (hartree)")
ax.set_xlabel("Number of atoms")
ax;
image generated from notebook

Extract surface energy from y-axis intercept

hartree2J = Units.conversion_factor("hartree", "J")
angstrom2m = Units.conversion_factor("angstrom", "m")
conversion = hartree2J / angstrom2m**2
Esurf = conversion * result.intercept / (2 * surfacearea)

print(f"Intercept = {result.intercept:.6f} hartree")
print(f"Surface energy: {Esurf:.3f} J/m^2")
Intercept = 0.100491 hartree
Surface energy: 1.257 J/m^2

Final notes on surface energy

  • In the calculation of the surface energy, we never used the energy of the bulk! This is best practice.

  • The surface energy is expressed in J/m^2; the area of the unit cell will depend strongly on the optimized the lattice parameters.

See also

Python Script

#!/usr/bin/env python
# coding: utf-8

# ## Bulk wurtzite ZnO

from scm.base import ChemicalSystem
from scm.plams import view

bulk = ChemicalSystem(
    """
System
    Atoms
        Zn       1.64483022629693       0.94964317652279       0.00064920490187
        Zn       1.64483022629108      -0.94964317650531       2.68804611338770
        O        1.64483022629670       0.94964317652865       2.01489847647198
        O        1.64483022629084      -0.94964317649945       4.70229538495781
    End
    Lattice
               1.64483022628585      -2.84892951942711      -0.00000000000866
               1.64483022630247       2.84892951943670       0.00000000000826
              -0.00000000000063       0.00000000001572       5.37479381698294
    End
End
"""
)

view(bulk, width=150, height=150, direction="tilt_x", guess_bonds=True, picture_path="picture1.png")


# ## Lattice optimization with ReaxFF

import scm.plams as plams

engine_s = plams.Settings()
engine_s.input.ReaxFF.ForceField = "ZnOH.ff"
engine_s.runscript.nproc = 1

s = plams.Settings()
s.input.ams.Task = "GeometryOptimization"
s.input.ams.GeometryOptimization.OptimizeLattice = "Yes"
s.input.ams.GeometryOptimization.Convergence.Quality = "Good"
s += engine_s.copy()

job = plams.AMSJob(settings=s, molecule=bulk, name="bulk_opt")
job.run()
optimized_bulk = job.results.get_main_system()
optimized_bulk.symmetrize_cell()
print("Lengths (ang.): ", optimized_bulk.lattice.get_lengths())
print("Angles (deg.): ", optimized_bulk.lattice.get_angles(unit="degree"))


# ## Create slabs

num_layers_list = [6, 8, 10, 12, 14]
miller = (1, 0, -1, 0)

slabs = [optimized_bulk.make_slab_layers(miller=miller, num_layers=x) for x in num_layers_list]


# The thinnest slab (shown horizontally):

view(slabs[0], direction="tilt_x", guess_bonds=True, picture_path="picture2.png")


# The thickest slab:

view(slabs[-1], direction="tilt_x", guess_bonds=True, picture_path="picture3.png")


# ## Run slab geometry optimizations

from scm.plams import AMSJob

ss = plams.Settings()
ss.input.ams.Task = "GeometryOptimization"
ss += engine_s.copy()

slab_jobs = []

for num_layers, slab in zip(num_layers_list, slabs):
    millerstring = "".join(str(x) for x in miller)
    name = f"{num_layers}layers_{millerstring}"
    job = AMSJob(settings=ss.copy(), molecule=slab, name=name)
    slab_jobs.append(job)

for job in slab_jobs:
    job.run()


import matplotlib.pyplot as plt
import numpy as np


def getresults(job):
    main_sys = job.results.get_main_system()
    n_atoms = len(main_sys)
    energy = job.results.get_energy(unit="hartree")
    vecs = main_sys.lattice.vectors
    area = np.linalg.norm(np.cross(vecs[0], vecs[1]))
    return n_atoms, energy, area


data = sorted(getresults(job) for job in slab_jobs)  # sorts on number of atoms

x, y, areas = zip(*data)  # x = number of atoms, y = energy
fig, ax = plt.subplots()
ax.plot(x, y, ".")
ax.set_xlim(0, max(x) + 1)
ax.set_ylabel("Energy (hartree)")
ax.set_xlabel("Number of atoms")
ax
ax.figure.savefig("picture4.png")


# We need to fit a straight line through the points and see where it intercepts 0 on the x axis.

# ## Fit a straight line and extrapolate to 0 atoms (pure "surface")

from scipy.stats import linregress
from scm.base import Units


k = 3  # use the last k points
surfacearea = areas[-1]  # all should be identical; just use the last number
result = linregress(x[-k:], y[-k:])

lineminx, lineminy = 0, result.intercept
linemaxx, linemaxy = max(x), result.slope * max(x) + result.intercept
fig, ax = plt.subplots()
ax.plot(x, y, ".")
ax.plot([lineminx, linemaxx], [lineminy, linemaxy], "--")
ax.set_xlim(0, max(x) + 1)
ax.set_ylabel("Energy (hartree)")
ax.set_xlabel("Number of atoms")
ax
ax.figure.savefig("picture5.png")


# ## Extract surface energy from y-axis intercept

hartree2J = Units.conversion_factor("hartree", "J")
angstrom2m = Units.conversion_factor("angstrom", "m")
conversion = hartree2J / angstrom2m**2
Esurf = conversion * result.intercept / (2 * surfacearea)

print(f"Intercept = {result.intercept:.6f} hartree")
print(f"Surface energy: {Esurf:.3f} J/m^2")


# ## Final notes on surface energy

# * In the calculation of the surface energy, we never used the energy of the bulk! This is best practice.
#
# * The surface energy is expressed in J/m^2; the area of the unit cell will depend strongly on the optimized the lattice parameters.